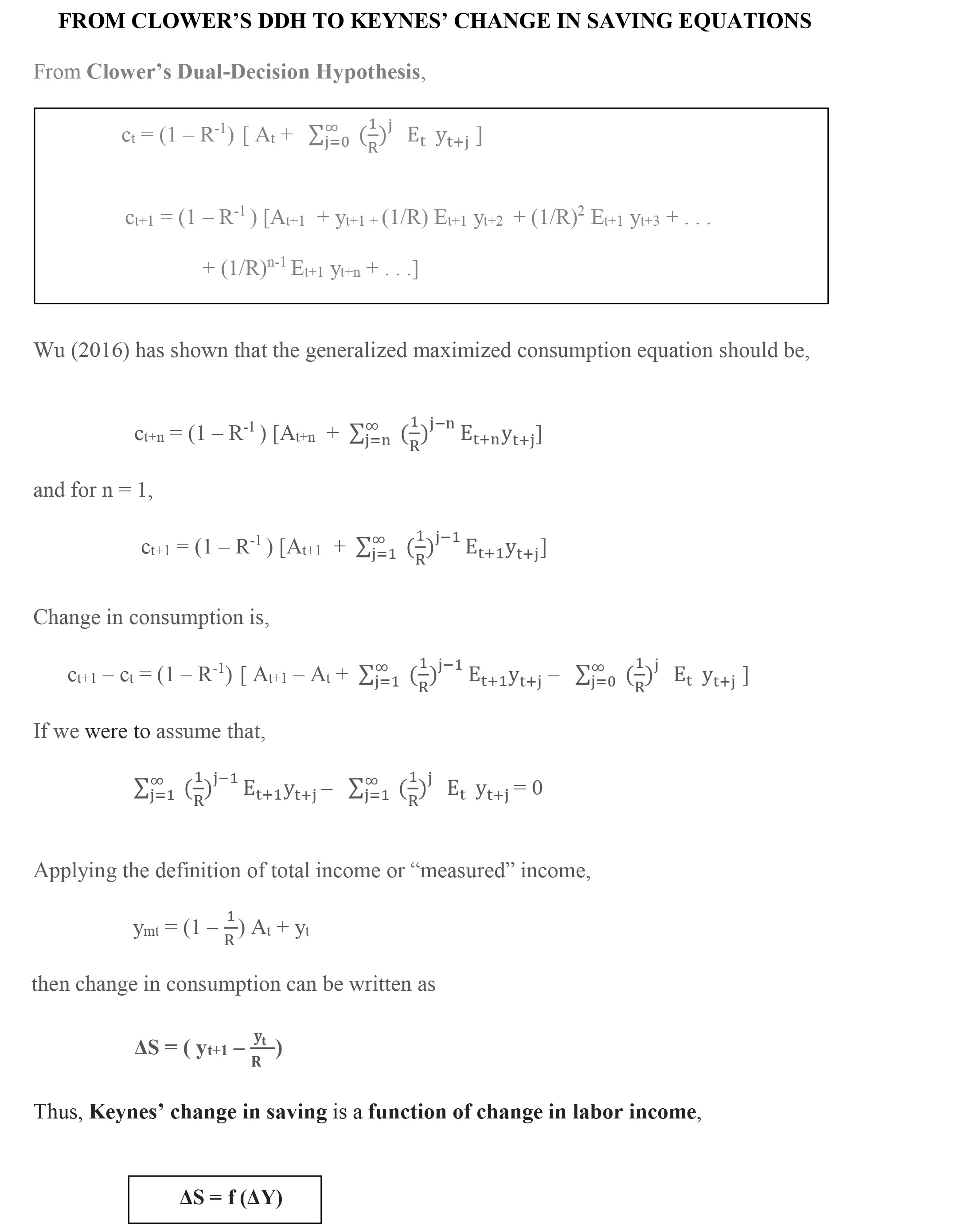
Wu
Generalized Consumption Equation and Change in Saving Result

The above result proves mathematically once and for all that Keynes' principle satisfies, 1. the prerequisite of microfoundations for macroeconomics; 2. Clower's Dual-Decision Hypothesis (DDH) on budget constraint; 3. the intrinsic mechanism of DDH with feedback is simple enough for the average household to intuitively understand and utilize.
Wu's result shows that,
1. Modigliani (1954) and others were right on data relating saving to income. But what was missing in proving Keynes' principle was the word change in front of both saving and income! Now, it is rigorously proven mathematically.
2. For the first time in economics, income growth or growth is not just an isolated variable to be analyzed in vacuum, devoid of any theoretical foundation behind it.
3. Because the relationship is about the change of both saving and income, it is possible to have positive income growth and negative saving, and vice versa. These hypothetical events cannot be contemplated by any other consumption theory.

4. Do Permanent Income Hypothesis and Life Cycle Hypothesis hold in theory? No and No. Under Clower's DDH, consumption is constantly being subject to feedback optimization, whenever budget constraint is violated. Because Hall's assumption that budget constraint is always satisfied, Permanent Income and Life Cycle Hypotheses are mathematically derived from a single optimization and without feedback. Furthermore, neither hypothesis can hold in data.
5. Wu's proof confirmed Keynes' assumption that there cannot be forced, targeted or optimal saving. Thus, it is nonsensical to argue saving is too high or too low. In the next Trade section, we will see that the Wu's consumption theory published in 1997 explained U.S. personal savings data from 1969 to 1993 and that it has correctly anticipated its saving rate from 1993 to the present day.
6. If change of savings is a function of income growth and since growth is mostly unpredicable, saving is for most of the time in disequilibrium. So, Keynes General Theory and Clower's Dual Decision Hypothesis are still relevant after all these years.
--------------------------------------------------------------------------------------------------------------------------------------------------------------------------
Friedman, M. (1957), A Theory of the Consumption Function, Princeton University Press.
Modigliani, F. and Brumberg R. (1954), "Utility Analysis and the Consumption Function: An Interpretation of Cross-Section Data," in K. K. Kurihara, ed., Post-Keynesian Economics. Rutgers University Press.
Modigliani, F. and Brumberg R. (unpublished manuscript 1952, published 1979), "Utility Analysis and Aggregate Consumption Functions: An Attempt at Integration," in The Collected Papers of Franco Modigliani, ed. A. Abel, Vol. 2, MIT Press.
Wu, Cheng (1997): "New Result in Theory of Consumption: Changes in Savings and Income Growth," https://econwpa.ub.uni-muenchen.de/econ-wp/mac/papers/9706/9706007.pdf
Wu, Cheng (2016): "New Result in Consumption Theory: Change in Savings and Income Growth – Nineteen Years Later". https://mpra.ub.uni-muenchen.de/69582/ https://journals.econsciences.com/index.php/JEL/article/view/684/791
Wu, Cheng (2017): "Does Clower’s Dual-Decision Hypothesis lead to the change in saving conclusion in Keynes’s General Theory?" https://mpra.ub.uni-muenchen.de/82840/
https://journals.econsciences.com/index.php/JEL/article/view/1497
Wu, Cheng (2018): "Clower’s Dual-Decision Hypothesis is economics". https://mpra.ub.uni-muenchen.de/84013/
https://journals.econsciences.com/index.php/TER/article/view/1611